R Screenshots

[] MacOS X RAqua desktop
[] Unix desktop

Graphics Examples

[] box and whisker plots
[] piechart
[] pairs plot
[] coplot
[] another coplot that shows nice interactions
[] 3d plot of a surface
[] [] image and 3d plot of a volcano
[] mathematical annotation in plots
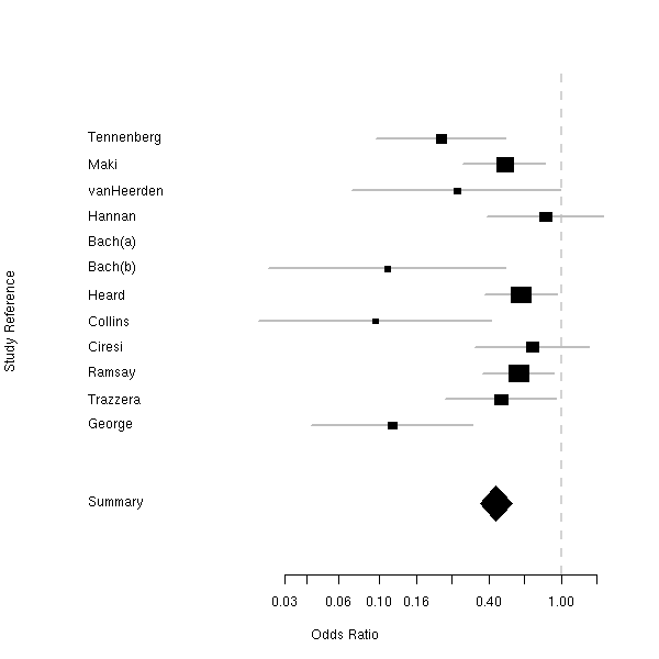
[] forest plot (plot of confidence intervals in a meta-analysis)

All images on this site are Copyright (C) the R Foundation and may be reproduced for any purpose provided they are credited to the R statistical software using an attribution like “(C) R Foundation, from http://www.r-project.org”.